Skip to content
NM DEVMathematics at Your Fingertips
  • Home
    • Shop
    • Service
    • Our Customers
  • Products
    • NM Dev
      • NM Dev Math Library
      • NM Dev Examples
      • Javadoc
      • Benchmarks
      • SuanShu Examples
    • S2
      • S2 data science IDE
      • Libraries
      • Tutorials
    • Financial Analytics
    • Courses
  • Communities
    • Forums
    • Knowledge Base
    • YouTube
    • Blogs
  • My Account
    • Login
    • Orders
    • Account details
    • Lost password
  • About NM
    • NM LTD
    • Linkedin
    • Jobs
    • Contact Us
0

Screenshot 2022-02-24 221556

  1. Home
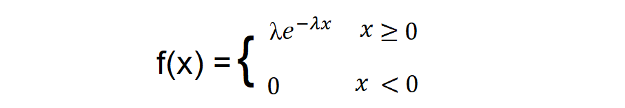
  2. Exponential Distribution
  3. Screenshot 2022-02-24 221556

Recent Topics

  • How to calculate the Akaike Information Criterion (AIC)

    By Anonymous 1 year ago

  • How to declare ADFDistribution for AugmentedDickeyFuller in C# code

    By Anonymous 1 year ago

  • Using the library in an open source project

    By Anonymous 3 years ago

  • nmdev, the numerical method Java library, version 1.2.4 has been released

    By haksunli 3 years ago

  • Purpose of buying Numerical Methods using java....

    By citroenie 3 years ago

  • S2

    By divyang 3 years ago

  • S2

    By stokey 3 years ago

  • quantitative analyst

    By haksunli 3 years ago

  • senior executives/C-suites for a multi-family office

    By haksunli 3 years ago

  1. JC on Change of Measure/Girsanov’s Theorem Explained2018-04-27

    Very helpful, I've needed this explanation for 15 years!

  2. Nic Santean on Change of Measure/Girsanov’s Theorem Explained2018-02-24

    I believe there is a mistake in the above - most likely for the example of removing drift has been…

  3. Giorgos Minas on Change of Measure/Girsanov’s Theorem Explained2018-02-15

    Great description! Thanks a lot!

  4. mahesh1234 on SuanShu is the Best Numerical and Statistical Library, ever!2018-01-22

    I dont see the trail version of the license in 3.6.0 release. Can you please check? I also paid the…

  5. Quantocracy's Daily Wrap for 11/19/2017 | Quantocracy on Transforming a QP Problem to an SOCP Problem2017-11-20

    […] Transforming a QP Problem to an SOCP Problem [Numerical Method] […]

  • Forum
  • Sitemap
  • Privacy Policy
  • Contact Us
  • NM DEV PTE. LTD. Software License Agreement, version 1.0
© 2025 - NM DEV. All rights reserved.